一组激光惯导-里程计-测速仪-卫导跑车数据
一组激光惯导-里程计-测速仪-卫导跑车数据
本数据集专为车载导航系统研究设计,包含高精度光纤陀螺惯导系统、轮式里程计、激光测速仪及卫星定位(GNSS)的同步实测数据,适用于多传感器融合算法开发、自主定位精度评估、动态环境导航验证等研究场景。所有数据已严格时间对齐,可直接用于滤波(优化)算法设计与性能分析(更详细数据描述及下载来源:https://www.educoder.net/dataset/336/detail?tabId=public)。

分析:
采用前290s数据进行对准,再纯惯性导航约15000s(4小时),定位误差稍大接近6000m。采用INS/GNSS组合Kalman滤波估计惯性器件误差,大致修正IMU零偏后,再作初始对准和纯惯性导航,误差减小至2000m以下。
从INS/GNSS组合估计结果看,天向z轴加表零偏有些不太稳定,从300ug变化到30ug;y轴陀螺零偏较大,约-0.01°/h。
PSINS工具箱数据处理程序:
glvs; ts = 1/200;
load dataimu_200.mat; load GPSdata.mat; % https://www.educoder.net/dataset/336/detail?tabId=public
imu = imurfu([data(:,2:7), cnt2t(data(:,1),ts)],'frd'); % imuplot(imu);
od1 = [data(:,11)*ts,imu(:,end)]; % odplot(od1);
od2 = [data(:,12)*ts,imu(:,end)]; % odplot(od2);
gps = appendt(ddidx(GPSdata,[5,4,-6,1:3]),1,-1); pos0=gps(1,4:6)'; % gpsplot(gps);
clear data;
%%
[att,res] = aligni0fitp(datacut(imu,0,290,'(]'),pos0);
avp = inspure(datacut(imu,290,inf,'()'),[att;pos0]); % insplot(avp(1:30:end,:));
avpcmpplot(gps,avp);
%%
ins = insinit([att1;pos0], ts);
avperr = avperrset([60;300], 1, 100);
imuerr = imuerrset(0.03, 100, 0.001, 1);
Pmin = [avperrset([0.001,0.01],0.0001,0.001); gabias(0.0001, [1,3]); [0.001;0.001;0.001]; 0.00001].^2;
Rmin = vperrset(0.01, 0.1).^2;
[avpkf, xkpk, zkrk, sk] = sinsgps(datacut(imu,290,inf), gps, ins, avperr, imuerr, ...
[rep3(1);1;1], [0.01;1], vperrset(0.1,10), Pmin, Rmin, 'h');
%%
imu1 = imuadderr(imu,imuerrset(-[0;-0.01;0],-[-69;70;70]));
[att1,res1] = aligni0fitp(datacut(imu1,0,290,'(]'),pos0); % avpcmpplot(res.attkp,res1.attkp,'a');
avp1 = inspure(datacut(imu1,290,inf,'()'),[att1;pos0]);
avpcmpplot(gps,avp1);
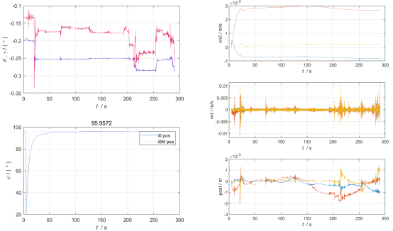
数据处理结果图如下:

初始对准结果

纯惯性导航结果图

纯惯性导航导航误差

Kalman滤波估计

纯惯性导航导航误差(器件误差修正后)
感谢科大王老师提供数据素材!
https://www.educoder.net/dataset/336/detail?tabId=public